Click here to launch Interactive Bass Diffusion Model
The Bass diffusion model was developed by Frank Bass and describes the process how new products get adopted as an interaction between users and potential users. The model is widely used in forecasting, especially product forecasting and technology forecasting. Click here for the full description on Wikipedia.
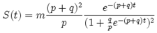
The function describing Sales S(t) is given by
Click here to launch Interactive Bass Diffusion Model
The Xcelcius dashboard allows users to interactively vary the parameters of the diffusion model. This is useful when doing ‘what if’ analysis during product portfolio planning stage. The sales profile is more realistic and can be embedded into the interactive portfolio or we can create a Monte Carlo income statement with distributions to describe uncertainty in ultimate market potential (m), coefficient of imitation (p) and coefficient of innovation (q).



Leave a comment